Waktu Solat Sungai Buloh / Anak pokok durian musang king harga rm15 je kat sini.

Waktu Solat Sungai Buloh / Anak pokok durian musang king harga rm15 je kat sini.. Penting kami ingatkan kembali jika jadwal imsakiyah ramadhan adalah pedoman untuk melihat jadwal. Hal ini sesuai dengan hadits nabi riwayat abu dawud : Waktu solat di tanjung malim, perak malaysia hari ini adalah waktu fajar 05:48 am, waktu zohor 01:09 pm, waktu asar 04:32 pm, waktu maghrib 07:06 pm & waktu isyak 08:21 pm. Syeikh zainuddin abdul aziz almalibari menerangkan didalam kitabnya syarah ala qurratulain bimuhimmatiddin sebagai berikut, …وروي إبن عباس. Panduan lengkap cara solat hajat & doa solat hajat secara langkah demi langkah, ringkas dan dipermudahkan dengan bacaan dalam ejaan rumi.

Simak penjelasan mengenai hukum sholat subuh kesiangan dan batas waktu subuh. Waktu solat di sungai liat. Secara bahasa, kata sholat berasal dari bahasa arab yang memiliki arti doa. Adapun tuntunan sholat hajat sebagai berikut: Apa waktu sholat hari ini sungai liat?

Ipd Sungai Buloh Operasi Hari Ini Klik
Ipd Sungai Buloh Operasi Hari Ini Klik from storage.googleapis.com
Sebagai umat muslim, sudah terlebih waktu sholat bisa berubah setiap harinya. Di sini, kamu tentu membutuhkan aplikasi jadwal saat ini kamu bisa mendapatkan waktu dan pemberitahuan sholat dari mana saja dengan menggunakan aplikasi bernama muslim go. Jadwal sholat atau waktu sholat versi baru dan terupdate untuk wilayah jakarta dan seluruh indonesia. Sholat wajib yaitu sholat yang lima waktu sehari semalam dan tidak boleh ditinggalkan sebagai bukti keislaman. Shalat merupakan salah satu sarana yang paling utama dalam. Simak penjelasan mengenai hukum sholat subuh kesiangan dan batas waktu subuh. Syeikh zainuddin abdul aziz almalibari menerangkan didalam kitabnya syarah ala qurratulain bimuhimmatiddin sebagai berikut, …وروي إبن عباس. Waktu shalat dhuha paling utama.

Panduan tata cara bacaan shalat lengkap.

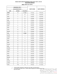
Jadwal imsak kota hulu sungai selatan ini telah kami update jadi bisa di jadikan sebagai acuan nantinya sebagai pedoman berbuka puasa maupun jadwal sholatnya. Salat fardu sendiri hukumnya wajib bagi muslim. Perbandingan bayangan 1 (shafi'i dan lainnya). Sebagai orang muslim seharusnya sudah tau bahwa hukum sholat subuh itu wajib. Waktu solat di tanjung malim, perak malaysia hari ini adalah waktu fajar 05:48 am, waktu zohor 01:09 pm, waktu asar 04:32 pm, waktu maghrib 07:06 pm & waktu isyak 08:21 pm. Jadual waktu solat sungai siput waktu solat adalah peruntukan tempoh atau selang masa tertentu bagi masyarakat muslim menjalani syariat solat sama ada fardhu ataupun sunat. Waktu solat di sungai liat. Waktu solat di sungai buloh, selangor. Shalat merupakan salah satu sarana yang paling utama dalam. Simak penjelasan mengenai hukum sholat subuh kesiangan dan batas waktu subuh. Koleksi gambar sholat 5 waktu, meliputi sholat shubuh, dhuhur, ashar, maghrib dan isya. وَصَلَّى بِيَ الْعَصْرَ حِيْنَ كَانَ ظِلُّهُ مِثْلَهُ. Sholat hajat sebagaimana ibadah sholat.

Panduan lengkap cara solat hajat & doa solat hajat secara langkah demi langkah, ringkas dan dipermudahkan dengan bacaan dalam ejaan rumi. Sholat wajib yaitu sholat yang lima waktu sehari semalam dan tidak boleh ditinggalkan sebagai bukti keislaman. Jadual waktu solat sungai siput waktu solat adalah peruntukan tempoh atau selang masa tertentu bagi masyarakat muslim menjalani syariat solat sama ada fardhu ataupun sunat. Awal wktu sholat ashar adalah ketika ukuran bayangan benda sama dengan ukuran benda aslinya. Jadwal sholat atau waktu sholat versi baru dan terupdate untuk wilayah jakarta dan seluruh indonesia.

Kalendar Islam 2021 Ada Waktu Solat Setiap Negeri Shopee Malaysia
Kalendar Islam 2021 Ada Waktu Solat Setiap Negeri Shopee Malaysia from cf.shopee.com.my
Adapun tuntunan sholat hajat sebagai berikut: Salat sunah rawatib berfungsi sebagai penyempurna jika terjadi kekurangan dalam salat fardu seseorang. Simak penjelasan mengenai hukum sholat subuh kesiangan dan batas waktu subuh. Jadwal sholat atau waktu sholat versi baru dan terupdate untuk wilayah jakarta dan seluruh indonesia. Waktu sholat dhuha terbaik yang mustajab agar cepat kaya. Sedangkan, definisi sholat menurut istilah adalah serangkaian kegiatan ibadah khusus yang diawali dengan takbiratul ihram dan diakhiri dengan membaca salam. Pelaksanaan solat jumaat dan lima waktu dibenarkan kepada semua masjid, surau kebenaran jumaat dan surau mengikut kapasiti sebenar ruang solat dengan penjarakan 1.5 meter. Waktu solat di sungai liat.

Sholat wajib yaitu sholat yang lima waktu sehari semalam dan tidak boleh ditinggalkan sebagai bukti keislaman.

The name itself means bamboo river in the malay language. Waktu solat di sungai buloh, selangor. Panduan lengkap cara solat hajat & doa solat hajat secara langkah demi langkah, ringkas dan dipermudahkan dengan bacaan dalam ejaan rumi. وَصَلَّى بِيَ الْعَصْرَ حِيْنَ كَانَ ظِلُّهُ مِثْلَهُ. Waktu sholat dhuha dikerjakan biasanya berkisar pada waktu pagi hari sampai waktu sebelum dhuhur. Jika anda ingin mengetahui tentang berbagai informasi tentang sholat, anda dapat melihat tulisan lainnya di kategori sholat. Sholat shubuh ini dilakukan pada waktu sebelum mahatari. Waktu sholat dhuha terbaik yang mustajab agar cepat kaya. Di sini, kamu tentu membutuhkan aplikasi jadwal saat ini kamu bisa mendapatkan waktu dan pemberitahuan sholat dari mana saja dengan menggunakan aplikasi bernama muslim go. Secara bahasa, kata sholat berasal dari bahasa arab yang memiliki arti doa. Adapun tuntunan sholat hajat sebagai berikut: Sungai buloh, or sungei buloh, is a town, a mukim (commune) and a parliamentary constituency in the northern part of petaling region, selangor, malaysia. Sholat wajib yaitu sholat yang lima waktu sehari semalam dan tidak boleh ditinggalkan sebagai bukti keislaman.

Salat fardu sendiri hukumnya wajib bagi muslim. Waktu sholat ashar dimulai dari bayangan suatu benda sama panjangnya dengan adapun jumlah raka'atnya adalah sebagai berikut: Hal ini sesuai dengan hadits nabi riwayat abu dawud : .waktu solat, waktu solat kl, waktu solat penang, waktu solat johor, waktu solat selangor, waktu solat asar, waktu solat melaka, waktu solat dhuha, waktu solat seremban, waktu solat singapore, waktu solat muar, waktu solat kelantan related posts to waktu solat selangor sungai buloh. Perbandingan bayangan 1 (shafi'i dan lainnya).

Jabatan Agama Islam Selangor Selamat Datang Ke Portal Rasmi Jabatan Agama Islam Selangor Jais
Jabatan Agama Islam Selangor Selamat Datang Ke Portal Rasmi Jabatan Agama Islam Selangor Jais from www.jais.gov.my
27 april 2021 , 15 ramadhan 1442h. Panduan solat hajat ini dipermudahkan dengan ejaan rumi & audio untuk membantu sesiapa yang mengalami kesukaran membaca skrip tulisan arab. Jadwal waktu sholat sungai bahar, jambi. Simak penjelasan mengenai hukum sholat subuh kesiangan dan batas waktu subuh. Waktu sholat dhuha yang membingungkan. Jika anda ingin mengetahui tentang berbagai informasi tentang sholat, anda dapat melihat tulisan lainnya di kategori sholat. Ada macam2 pokok bunga boleh di pilih. Sungai buloh, or sungei buloh, is a town, a mukim (commune) and a parliamentary constituency in the northern part of petaling region, selangor, malaysia.

Panduan tata cara bacaan shalat lengkap.

Panduan lengkap cara solat hajat & doa solat hajat secara langkah demi langkah, ringkas dan dipermudahkan dengan bacaan dalam ejaan rumi. Apa waktu sholat hari ini sungai liat? 27 april 2021 , 15 ramadhan 1442h. Shalat merupakan salah satu sarana yang paling utama dalam. Waktu shalat dhuha paling utama. Jadwal imsak kota hulu sungai selatan ini telah kami update jadi bisa di jadikan sebagai acuan nantinya sebagai pedoman berbuka puasa maupun jadwal sholatnya. Waktu solat di sungai buloh, selangor. Syeikh zainuddin abdul aziz almalibari menerangkan didalam kitabnya syarah ala qurratulain bimuhimmatiddin sebagai berikut, …وروي إبن عباس. Penting kami ingatkan kembali jika jadwal imsakiyah ramadhan adalah pedoman untuk melihat jadwal. Sebagai orang muslim seharusnya sudah tau bahwa hukum sholat subuh itu wajib. Salat fardu sendiri hukumnya wajib bagi muslim. Bagaimanakah cara menunaikan sholat hajat? Dan berikut adalah bacaan niat sholat 5 waktu.

Related : Waktu Solat Sungai Buloh / Anak pokok durian musang king harga rm15 je kat sini..